GSvit documentation

open source FDTD solver with GPU support

User Tools

Site Tools


samples:broadband.png

broadband.png

broadband.png
Date:
2025/02/19 10:28
Filename:
broadband.png
Format:
PNG
Size:
18KB
Width:
640
Height:
480
References for:
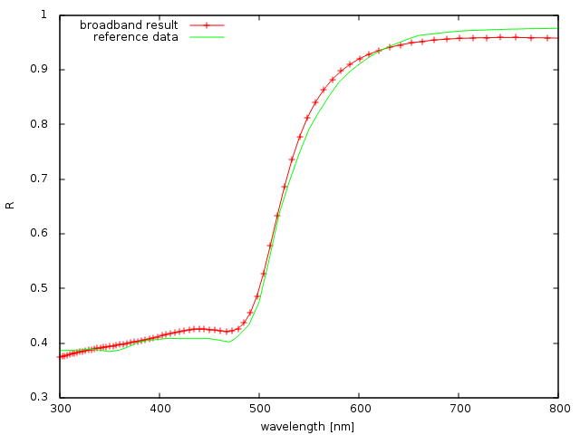
broadband

This list might not be complete due to ACL restrictions and hidden pages.